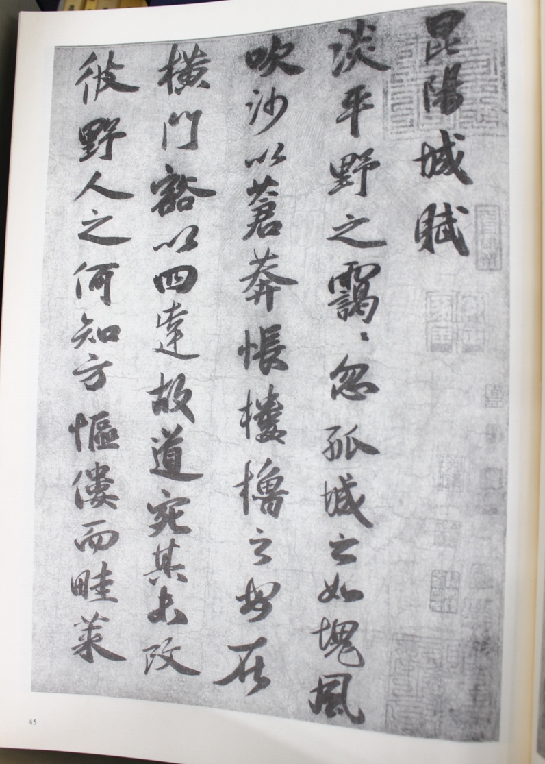
二玄社の法帖シリーズの中でも珍しい書が多いのは『宋元明清書法叢刊』ではないでしょうか
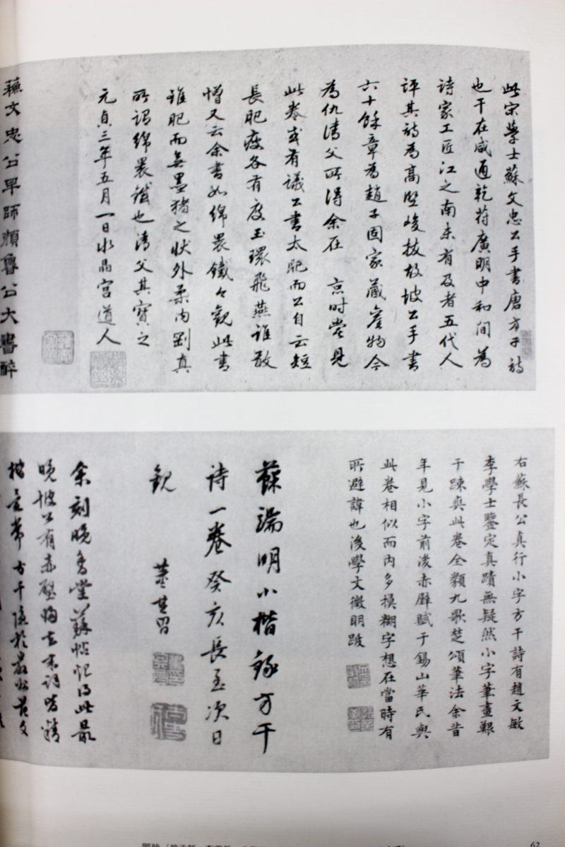
文徴明と董其昌が並んだ題跋もあって、書道愛好者にはたまりません
別冊には釋文と作者の解説がついています
【中国書道関係の本をお持ちで売られたい方は】 ◇◆古本の買取り承ります◆◇
買取りについてのご相談・ご依頼は買い取りフォームまたはメール、
電話にてご連絡いただけますようお願いいたします。
買い取りフォームから本の写真を添付いただくと簡単です!
美術書・書道・中国美術。 書道のお手本、法帖、紙、墨など、なんでもご相談下さい。
大量買取などのご相談はお電話で。 悠久堂書店 TEL:03-3291-0773









