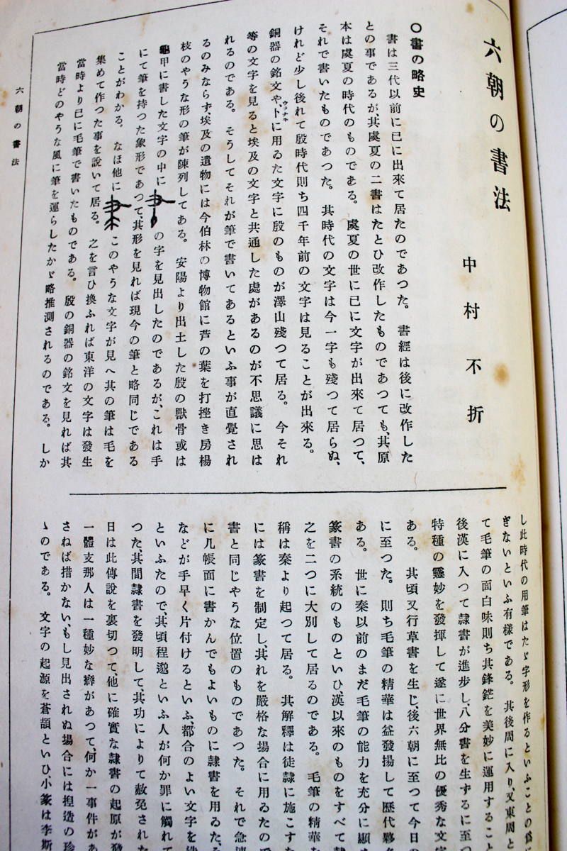
本の紹介 Published on 2017年12月9日 『六朝の書法』中村不折 2017/12/09 written by 悠久堂書店 書道博物館の初代館長 中村不折の書いた六朝の書法の手引書 不折はこの中でまず38種類の碑文の臨書を行っています その後に本論として書道の歴史から六朝書道(碑文)がいかに書道学習のために 良いかを語って、最後に書体論、筆法論と続いていきます 書道を愛した中村不折の書道に対する考え方が分かり 法帖に物足りなさを感じたらこの本を読んでみるといいかもしれません 関連ページ