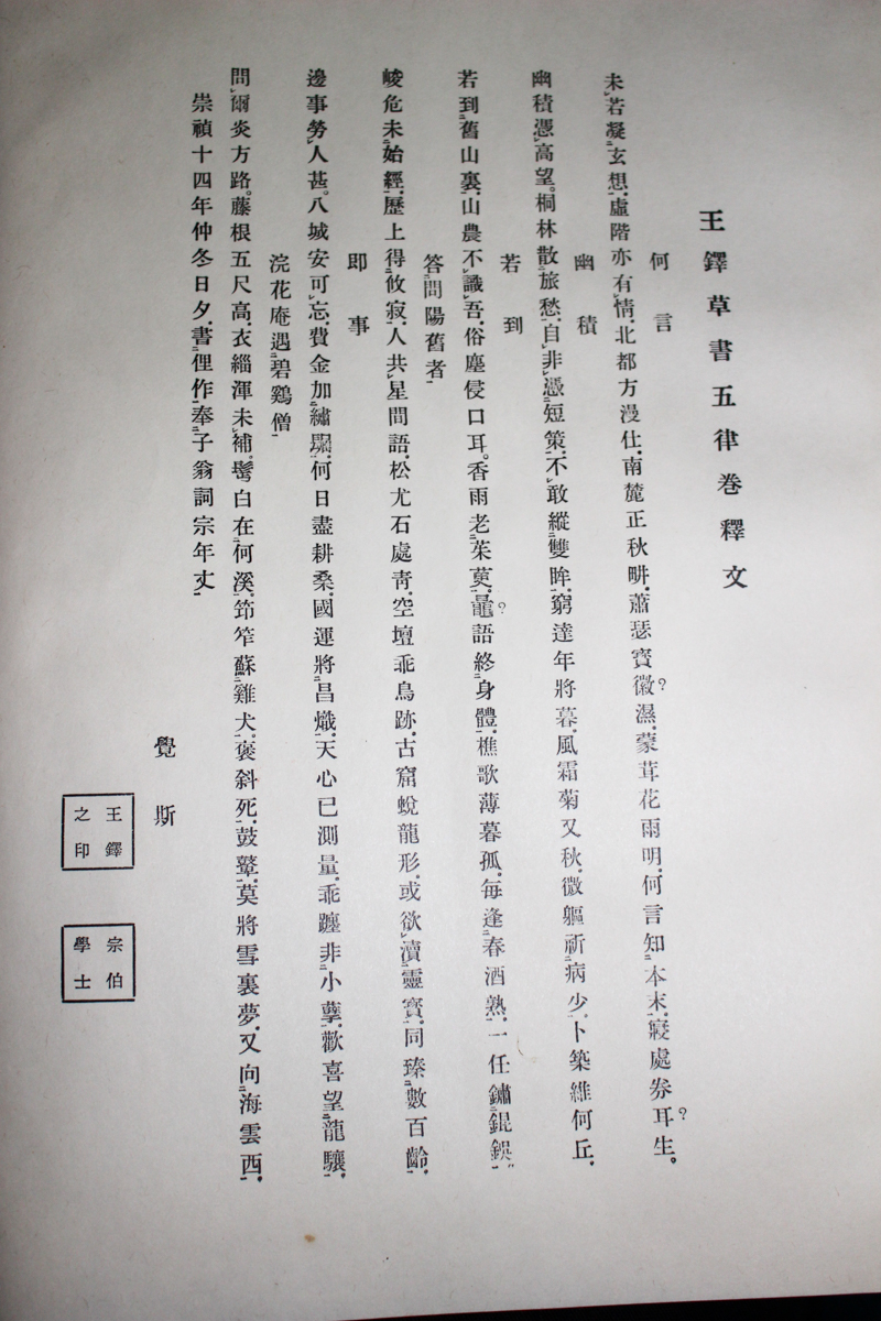
王鐸の草書の法帖ですが、文字の大きさも半紙に臨書しやすいサイズで
墨の潤滑もわかりやすく、お手本として利用するのに最適です
『王鐸草書五律巻』西東書房 昭和50年

◇◆古本の買取り承ります◆◇
買取りについてのご相談・ご依頼は買い取りフォームまたはメール、
電話にてご連絡いただけますようお願いいたします。
買い取りフォームから本の写真を添付いただくと簡単です!
美術書・書道・中国美術。
書道のお手本、法帖、紙、墨など、なんでもご相談下さい。
→ 買取フォーム・買取に関するご連絡はコチラから
大量買取などのご相談はお電話で。 悠久堂書店 TEL:03-3291-0773

