悠久堂書店

創業1915(大正4)年、神保町の古書店です。

Menu
  • 取扱い書籍
    • 中国美術
    • 書道
    • 料理書
    • 山岳書
  • 古本買取専用ページ
  • 探求書
  • 悠久堂書店について
  • 入荷情報
  • お知らせ
  • LINE買取り
  • アクセス
Close Menu
今日の1冊, 本の紹介
Published on 2019年2月27日

明清印人傳 2019/02/27

written by 悠久堂書店

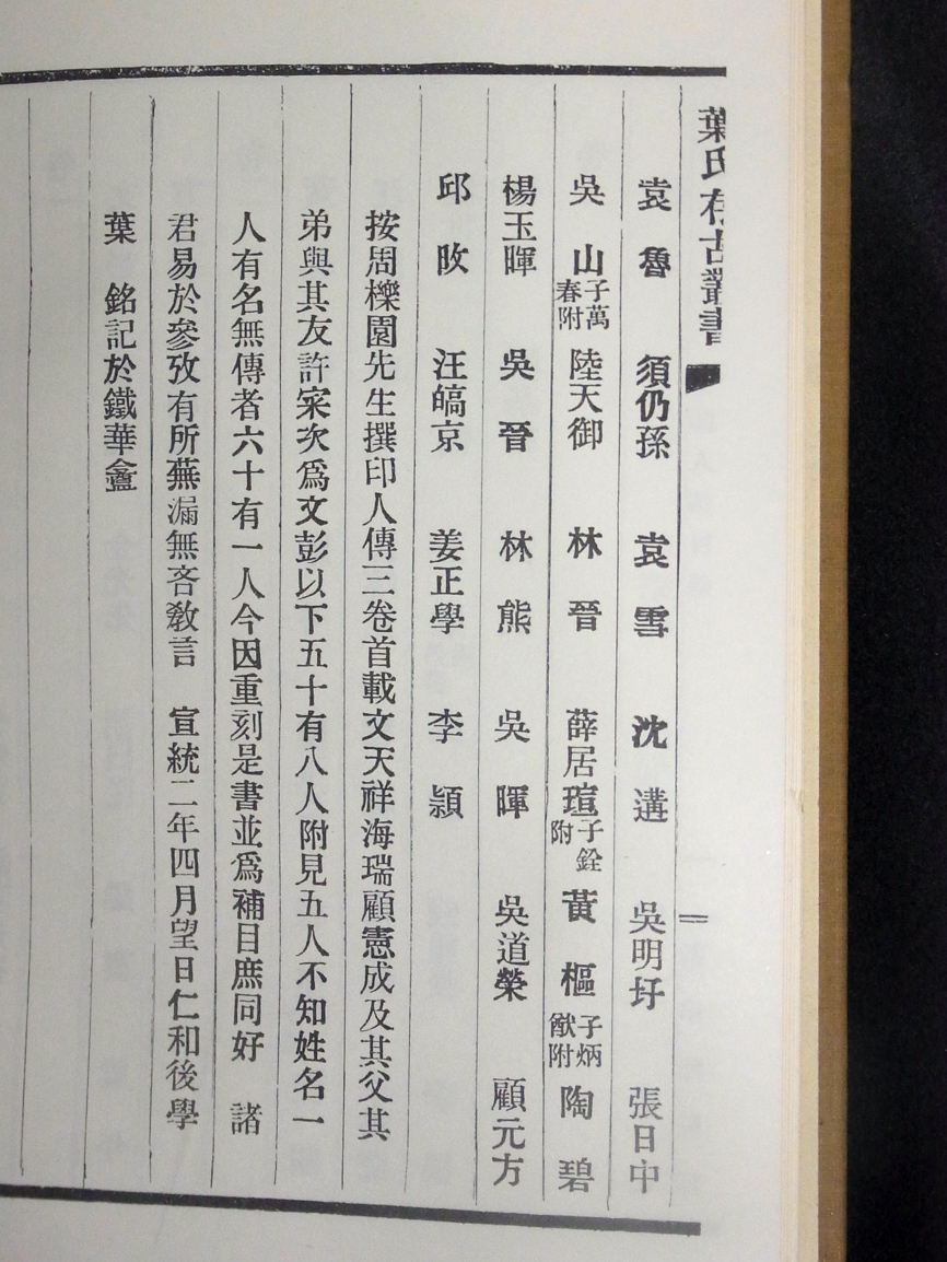
タイトル: 明清印人傳 葉氏存古叢書, 葉銘
著者:周亮工  再版
出版社 博雅齋 発行年:1977年

関連ページ

Filed under: 今日の1冊, 本の紹介
Tagged with: 中国美術, 明清, 書道, 篆刻
Previous Post顔真卿『祭姪帖』 2019/02/22
Next Post二石八大 2019/03/01

今日の1冊

草書孝経
2026年5月20日

賀知章 草書孝経

唐の詩人賀知章が書いたとされる草書孝経の古写本を模刻した石刷本より印刷されたもの発行所は不明ですが、釈文もついていて使いやすい1冊

by 悠久堂書店

X(旧Twitter)はじめました

フォローのほど、よろしくお願いいたします Follow @yukyudou3291

店内商品の一部はこちらで購入いただけます

悠久堂書店:日本の古本屋 ほしい本がみつかる、買える。毎日新しい、国内最強の古書データベース。 www.kosho.or.jp

RSS Inactive feed

  • エラーが発生しました。フィードの配信が停止している可能性があります。再度お試しください。
東京都千代田区神田神保町1−3−2
TEL: 03-3291-0773

営業時間

【平日】11:00ー18:00
【祭日】11:00ー18:00
日曜定休・年末年始お休み


お探しの本がございましたら通信販売にてお受けできる場合もございます。
平日午前中に電話、もしくはメールでお問合せ下さいますようお願い申し上げます。

特集: 中国美術

中国美術特集[chinese art book]

→ 中国美術の傑作が本の中に残っています。中国美術の本を探してみませんか?。

法帖特集

清雅堂法帖リスト

清雅堂の法帖を集めました。

日本古写経集成リスト

日本古写経集成リスト

フランス料理◇シェフシリーズ リスト

フランス料理◇シェフシリーズ リスト

本を探している・本を売りたい


→ 探している古書がある方

古書買取
→ 古書を売りたい・本棚を整理したい・押し入れのなかから本がどっさり出てきた

English information about “YUKYUDOU book store” / Kanda,Tokyo

買取りLINEできました

「LINE買取はじめました」スマホでかんたん写真連絡

スマートフォンでの買取りに便利です。悠久堂のLINEアカウントを「友だち登録」して、ご利用ください

友だち追加
「宅配買取はじめました」ー段ボールで送るだけ。
→買取専用ページはこちら

ページ

  • 悠久堂書店について
  • アクセス
  • お問い合わせ
  • 古本買取専用ページ
  • 取扱い書籍
    • 中国美術
  • トップページ
  • English information about “YUKYUDOU book store” / Kanda,Tokyo
  • 探求書
  • プライバシーポリシー
  • LINE買取り

カテゴリー

  • お知らせ
  • メディア掲載
  • 今日の1冊
  • 新着入荷
  • 未分類
  • 本の紹介
  • 買い取り情報
お菓子 かな ハーブ&スパイス 中国書道 中国美術 二玄社 仏教 写経 千字文 呉昌碩 唐代 図録 字典 展覧会 山岳 手本 料理 日下部鳴鶴 日本書道 日本美術 明清 書道 木版画 楷書 法帖 清代 漢字 版画 王羲之 畦地梅太郎 神保町 篆刻 篆書 絵画 美術 臨書 草書 行書 貫名菘翁 週末 陶磁 隷書 雑誌 青山杉雨

悠久堂書店からのご挨拶

悠久堂書店は大正四年創業、神田・神保町の古書店です。
→ 会社概要

美術書・カタログ、山の本、料理の本などが充実しております。

お探しの本がございましたら、お気軽にお問い合わせくださいませ。

ご不要な本の買い取りも行っております。

→お問い合わせページ

創業1915(大正4)年、神保町の古書店です。

  • Copyright © 2018 悠久堂書店